×
欢迎光临本店! 登录 注册
服务热线:

400-000-7085

购物车暂无商品,赶紧选购吧!
LM22A-4
LM22A-4
  • 商品货号:A15494
  • 已售 0 件 | 评价 0 人次 | 关注度 694
    浏览历史清除
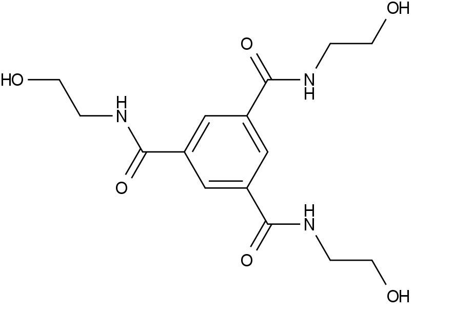
    • 名称:LM22A-4
    • 简介:LM22A-4 is a potent tropomyosin-related kinase B (TrkB) agonist (IC50 = 47 nM).
    • CASNO:37988-18-4
    • 分子式:C15H21N3O6
    • 分子量:339.34
    • SMILES:C1=C(C=C(C=C1C(=O)NCCO)C(=O)NCCO)C(=O)NCCO
    • 保持条件:at -20°C 3 years Powder
    • 同名:LM 22A4, LM 22A-4
    • 纯度:>98%
    • 应用:TrkB agonist
    • 作用机制:Agonist