×
欢迎光临本店! 登录 注册
服务热线:

400-000-7085

购物车暂无商品,赶紧选购吧!
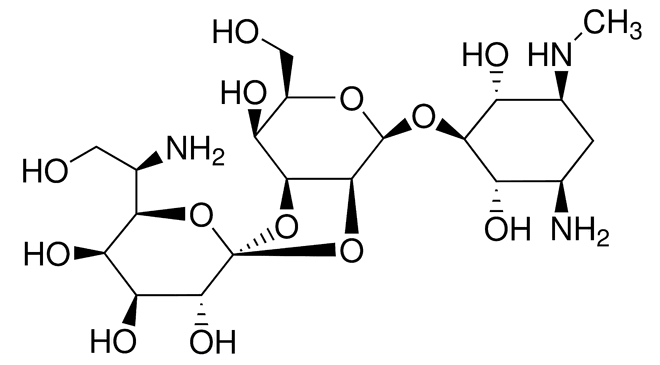
Hygromycin B
Hygromycin B
  • 商品货号:A13796
  • 已售 0 件 | 评价 0 人次 | 关注度 730
    浏览历史清除
    • 名称:Hygromycin B
    • 简介:Hygromycin B is an aminoglycoside antibiotic isolated from Streptomyces hygroscopicus. It acts by inhibiting protein synthesis by inducing the misreading of the m-RNA template in the prokaryote, with the potency to inhibit translation.
    • CASNO:31282-04-9
    • 分子式:C20H37N3O13
    • 分子量:527.52
    • SMILES:CN[C@H]1C[C@H]([C@@H]([C@H]([C@@H]1O)O[C@H]2[C@@H]3[C@H]([C@H]([C@H](O2)CO)O)OC4(O3)[C@@H]([C@H]([C@H]([C@H](O4)[C@H](CO)N)O)O)O)O)N
    • 保持条件:at -20°C 3 years Powder
    • 同名:HygromycinB
    • 纯度:>98%