细胞系
原代细胞
永生化细胞
耐药株
荧光示踪稳株
功能性稳株
cDNA克隆
ORF克隆
现货空载
菌株
shRNA载体
感受态细胞
血清
抑制剂
基础培养基
TSA荧光试剂盒
抗体
通用完全培养基
组织芯片
专用完全培养基
抗生素
类器官培养基
质粒DNA甲基化标准品
gDNA甲基化标准品
辅助试剂
细胞因子
转染试剂
耗材
>
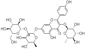
名称:Grosvenorine简介:N/ACASNO:156980-60-8分子式:C33H40O19分子量:740.66 SMILES:OCC1[C@@H](O)[C@H](O)C(O)[C@@H](O1)OC2[C@@H](OC(C)[C@H](O)[C@@H]2O)OC3C=C4C(=C(O)C=3)C(=O)C(O[C@H]5[C@@H](O)C(O)[C@@H](O)C(C)O5)=C(C6=CC=C(O)C=C6)O4保持条件:at -20°C 3 years Powder同名:Grosvenorin纯度:>98%