×
欢迎光临本店! 登录 注册
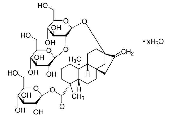
Stevioside Hydrate
Stevioside Hydrate
  • 商品货号:A12127
  • 已售 0 件 | 评价 0 人次 | 关注度 817
    浏览历史清除
    • 名称:Stevioside Hydrate
    • 简介:Stevioside is a reagent that exhibits transepithelial p-aminohippurate transport.
    • CASNO:57817-89-7
    • 分子式:C38H60O18.xH2O
    • 分子量:804.87
    • SMILES:CC12CCCC(C1CCC34C2CCC(C3)(C(=C)C4)OC5C(C(C(C(O5)CO)O)O)OC6C(C(C(C(O6)CO)O)O)O)(C)C(=O)OC7C(C(C(C(O7)CO)O)O)O
    • 保持条件:at -20°C 3 years Powder
    • 同名:N/A
    • 纯度:>98%