×
欢迎光临本店! 登录 注册
服务热线:

400-000-7085

购物车暂无商品,赶紧选购吧!
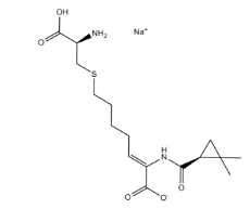
Cilastatin sodium
Cilastatin sodium
  • 商品货号:A10886
  • 已售 0 件 | 评价 0 人次 | 关注度 707
    浏览历史清除
    • 名称:Cilastatin sodium
    • 简介:Cilastatin is a dipeptidase inhibitor that specifically inhibits DPEP1 (dehydrodipeptidase I), a renal membrane-bound glycoprotein involved in the hydrolytic metabolism of penem and carbapenem ??-lactam antibiotics.
    • CASNO:81129-83-1
    • 分子式:C16H25N2NaO5S
    • 分子量:380.43
    • SMILES:O=C([C@@H]1C(C)(C)C1)N/C(C([O-])=O)=CCCCCSC[C@@H](C(O)=O)N.[Na+]
    • 保持条件:at -20°C 3 years Powder
    • 同名:Cilastatin Monosodium Salt
    • 纯度:>98%
    • 应用:dipeptidase inhibitor
    • 作用机制:Inhibitor