×
欢迎光临本店! 登录 注册
人 BACE2 (NM_012105) cDNA克隆
人 BACE2 (NM_012105) cDNA克隆
  • 商品货号:FC145265
  • 已售 8 件 | 评价 0 人次 | 关注度 280
    浏览历史清除
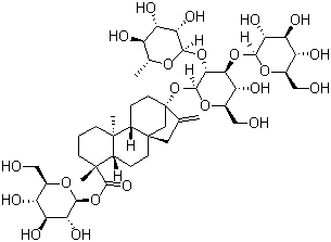
    Rebaudioside C
    ¥0元
    • accession:NM_012105
    • 基因别名:BACE2
    • 基因描述:Homo sapiens beta-site APP-cleaving enzyme 2 (BACE2), transcript variant a, mRNA.
    • 载体:现货载体
    • CDS区长度:1557
    • 翻译后氨基酸长度:518
    • TranscriptVariant:This variant (a) represents the longest transcript and encodes the longest isoform (A).
    • 基因简介:This gene encodes an integral membrane glycoprotein that functions as an aspartic protease. The encoded protein cleaves amyloid precursor protein into amyloid beta peptide, which is a critical step in the etiology of Alzheimer's disease and Down syndrome. The protein precursor is further processed into an active mature peptide. Alternative splicing results in multiple transcript variants. [provided by RefSeq, Jul 2013]
    • 规格:10ul 质粒
    CDS区参考序列: 点击查看序列
    翻译后氨基酸参数序列: 点击查看序列